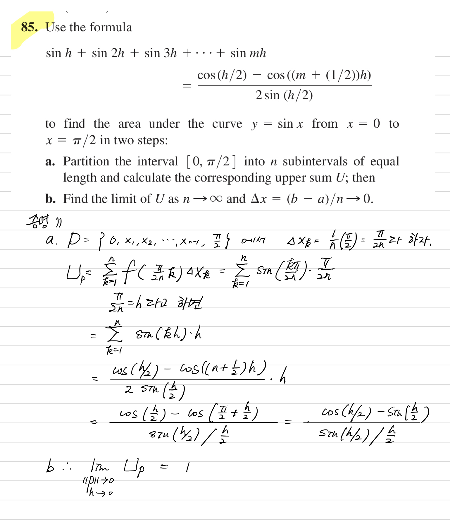
Exercise in Chapter 5.3
수학이야기/Calculus 2019. 3. 28. 13:58
문제에 주어진 항등식은 오일러 공식을 쓰면 쉽게 증명할 수 있다.
$$e^{i\theta}=\cos\theta+i\sin\theta$$
$\sin(h)+\sin(2h)+\sin(3h)+\cdots+\sin(mh)$은 $e^{hi}+e^{2hi}+e^{3hi}+\cdots+e^{mhi}$의 허수부분이다.
$$e^{hi}+e^{2hi}+e^{3hi}+\cdots+e^{mhi}=\frac{e^{hi}(1-e^{mhi})}{1-e^{hi}}$$