페이지 618 연습문제 70
수학이야기/Calculus 2020. 7. 15. 17:13
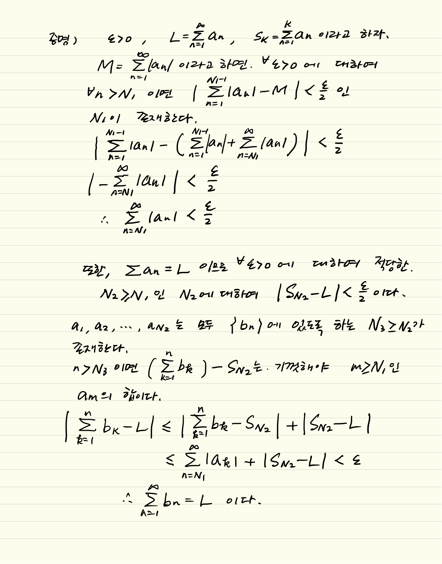
- 정리
- 급수 $\displaystyle{\sum_{n=1}^{\infty}b_n}$은 급수 $\displaystyle{\sum_{n=1}^{\infty}a_n}$을 재배열한 급수라고 하자. $\displaystyle{\sum_{n=1}^{\infty}a_n}$이 절대수렴이면 $\displaystyle{\sum_{n=1}^{\infty}b_n}$도 절대수렴이고 아래와 같이 극한값이 같다.
- $$\sum_{n=1}^{\infty}a_n=\sum_{n=1}^{\infty}b_n$$

두 급수는 극한값이 같음을 증명하였다. 아래와 같이 재배열한 급수도 절대수렴임을 보이면 된다.

이 정리에 따라 절대수렴인 수열은 마음대로 재배열하여 극한값을 구할 수 있다.
https://en.wikipedia.org/wiki/Riemann_series_theorem
Riemann series theorem - Wikipedia
In mathematics, the Riemann series theorem (also called the Riemann rearrangement theorem), named after 19th-century German mathematician Bernhard Riemann, says that if an infinite series of real numbers is conditionally convergent, then its terms can be a
en.wikipedia.org