소금물 농도 문제
수학이야기 2019. 5. 8. 11:10딸아이가 드디어 소금물 문제를 풀기 시작했다. 소금물 농도 문제는 중학교 2학년을 괴롭힌다. 사실 따지고 보면 미지수가 하나인 일차방정식에 지나지 않는 아주 쉬운 문제지만 처음 만나면 만만치 않다. 농도에도 여러 가지가 있지만 중학교 수학 문제는 모두 질량 농도를 백분율(%)로 나타내고 있다. 굳이 왜 백분율을 쓰는지 모르겠지만 이게 학생을 헷갈리게 만든다.
질량 농도는 용액 100mL에 녹아 있는 성분이 몇 g인가를 나타낸 값이다. 맨 아래 표에서 단위를 보면 쉽게 알 수 있다.
서론이 길었다. 소금물 문제를 쉽게 해결하는 방법을 찾아보자. 아래 두 가지를 꼭 기억하자.
1. 소금물$=$소금$+$물
2. 소금물의 양$\times$농도(%)$\div 100=$소금의 양
소금물에 있는 소금의 양을 계산하려면 반드시 백분율을 분수로 나타내야 한다. 더 어렵게 설명하고 싶지만 이글은 중학생을 위한 글이므로 참는다. 소금물 문제는 당연히 구하고자 하는 값을 $x$로 두고 단계별로 소금물의 양과 소금의 양을 따로 계산해 두면 끝이다. 익숙해지기 전까지는 그림을 그려 보자.
문제를 보자.
1. 농도가 10%인 소금물 200g과 농도가 7%인 소금물 100g을 섞어서 만든 소금물은 농도가 얼마인가?
가장 간단한 문제이다. 소금의 양만 잘 계산하면 간단히 해결

2. 농도가 10%인 소금물 200g에 물을 넣어서 농도가 5%인 소금물을 만들려고 한다. 이 때 몇 g의 물을 더 넣어야 하는지 구하시오.
미지수가 중간으로 옮겨져 살짝 복잡해 보이지만 그래도 간단히 해결

3. 농도가 10%인 소금물 200g에 농도가 15%인 소금물을 섞어서 13%인 소금물을 만들려고 한다. 이 때 15%인 소금물은 몇 g 넣어야 하는지 구하시오.
슬슬 복잡한 느낌이 들어서 귀찮은 문제지만 일차방정식쯤이야

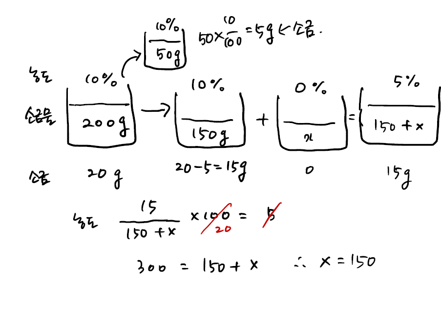
4. 농도가 10%인 소금물 200g에서 50g을 덜어내고 물을 넣어서 농도가 5%인 소금물을 만들려고 한다. 이 때 몇 g의 물을 더 넣어야 하는지 구하시오.
문제를 만들기 위한 문제다. 한꺼풀 벗겨내면 위에 있는 문제들과 크게 다르지 않다.

왜 이런 문제가 교과서에 있을까? 우리 딸 말대로 쓸모라고는 없어 보인다. 앞에 앉은 화학 선생님께 물어 보았다. 화학 실험에서 농도를 모르는 용액은 많지 않다고 한다. 왜냐하면 농도를 모르면 측정하기 매우 어렵기 때문이다. 그러니 화학시간에도 이 문제는 쓸모가 별로 없다. 하지만 농도를 알고 있는 용액을 섞어서 필요한 농도를 가진 용액을 만들어야 하는 경우는 자주 있다고 한다. 그러니 첫 번째 문제 정도는 알고 있으면 좋겠다.
| Concentration type | Symbol | Definition | SI unit | other unit(s) |
|---|---|---|---|---|
| mass concentration | or | kg/m3 | g/100mL (= g/dL) | |
| molar concentration | mol/m3 | M (= mol/L) | ||
| number concentration | 1/m3 | 1/cm3 | ||
| volume concentration | m3/m3 | |||
| Related quantities | Symbol | Definition | SI unit | other unit(s) |
| normality | mol/m3 | N (= mol/L) | ||
| molality | mol/kg | |||
| mole fraction | mol/mol | ppm, ppb, ppt | ||
| mole ratio | mol/mol | ppm, ppb, ppt | ||
| mass fraction | kg/kg | ppm, ppb, ppt | ||
| mass ratio | kg/kg | ppm, ppb, ppt |