Loading [MathJax]/jax/output/CommonHTML/jax.js
한국어
Français
Deutsch
Italiano
Español
English
简体中文
日本語
ko
'미적분학' 태그의 글 목록::::수학과 사는 이야기
수학과 사는 이야기
미적분학
반응형
또 다른 오일러 상수
수학이야기/Calculus
2020. 7. 13. 16:51
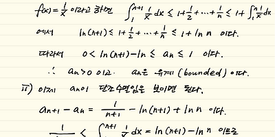
오일러 이름이 붙은 상수 자연 로그의 밑인
e
는 널리 알려져 있다. 또 다른 오일러 상수
γ
가 있다. 오일러-마스케로니 상수로도 부른다. 아마도 자기 이름이 붙은 상수를 둘이나 가진 수학자는 오일러가 유일하지 않을까? 오일러 상수
γ
는 아래에 있는 수열
{
a
n
}
의 극한값이다.
a
n
=
n
∑
k
=
1
1
k
−
ln
n
이 수열은 아래 그림과 같이 조화수열과 자연로그의 차를 나타낸다. 역사 이 수열은 1734년 스위스 수학자 오일러가 쓴 에 처음 등장한다. 오일러는
C
나
O
로 표시하였다. 1790년 이탈리아 수학자 마스케로니Lorenzo Mascheroni는
A
와
a
로 적었다. 세월이 흐른 뒤 이 상수가 감마 함수 gamma..
이전
1
다음
티스토리툴바
관리메뉴열기
개인정보
티스토리 홈
포럼
로그인
수학과 사는 이야기
구독하기
닫기
단축키
내 블로그
내 블로그 - 관리자 홈 전환
Q
Q
새 글 쓰기
W
W
블로그 게시글
글 수정 (권한 있는 경우)
E
E
댓글 영역으로 이동
C
C
모든 영역
이 페이지의 URL 복사
S
S
맨 위로 이동
T
T
티스토리 홈 이동
H
H
단축키 안내
Shift
+
/
⇧
+
/
* 단축키는 한글/영문 대소문자로 이용 가능하며, 티스토리 기본 도메인에서만 동작합니다.