분모가 1차식으로 인수분해되지 않는 유리함수 적분::::수학과 사는 이야기

분모가 1차식으로 인수분해되지 않는 유리함수 적분

수학이야기/Calculus 2020. 6. 30. 11:23
반응형

토마스 미적분 8.5 연습문제 풀이 몇 개.

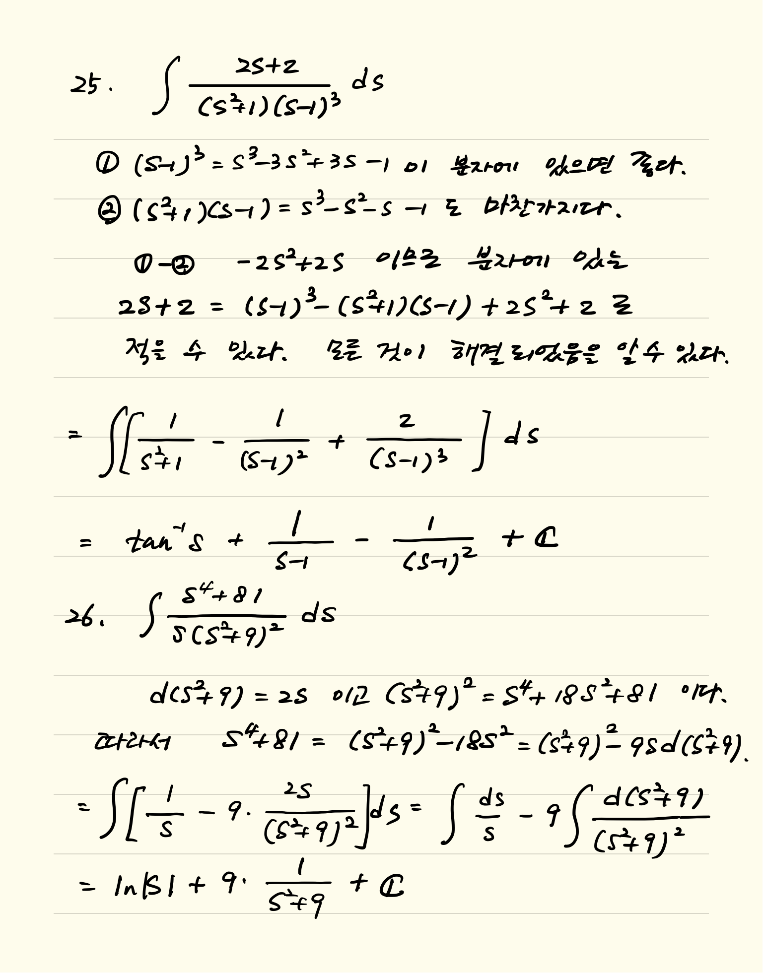
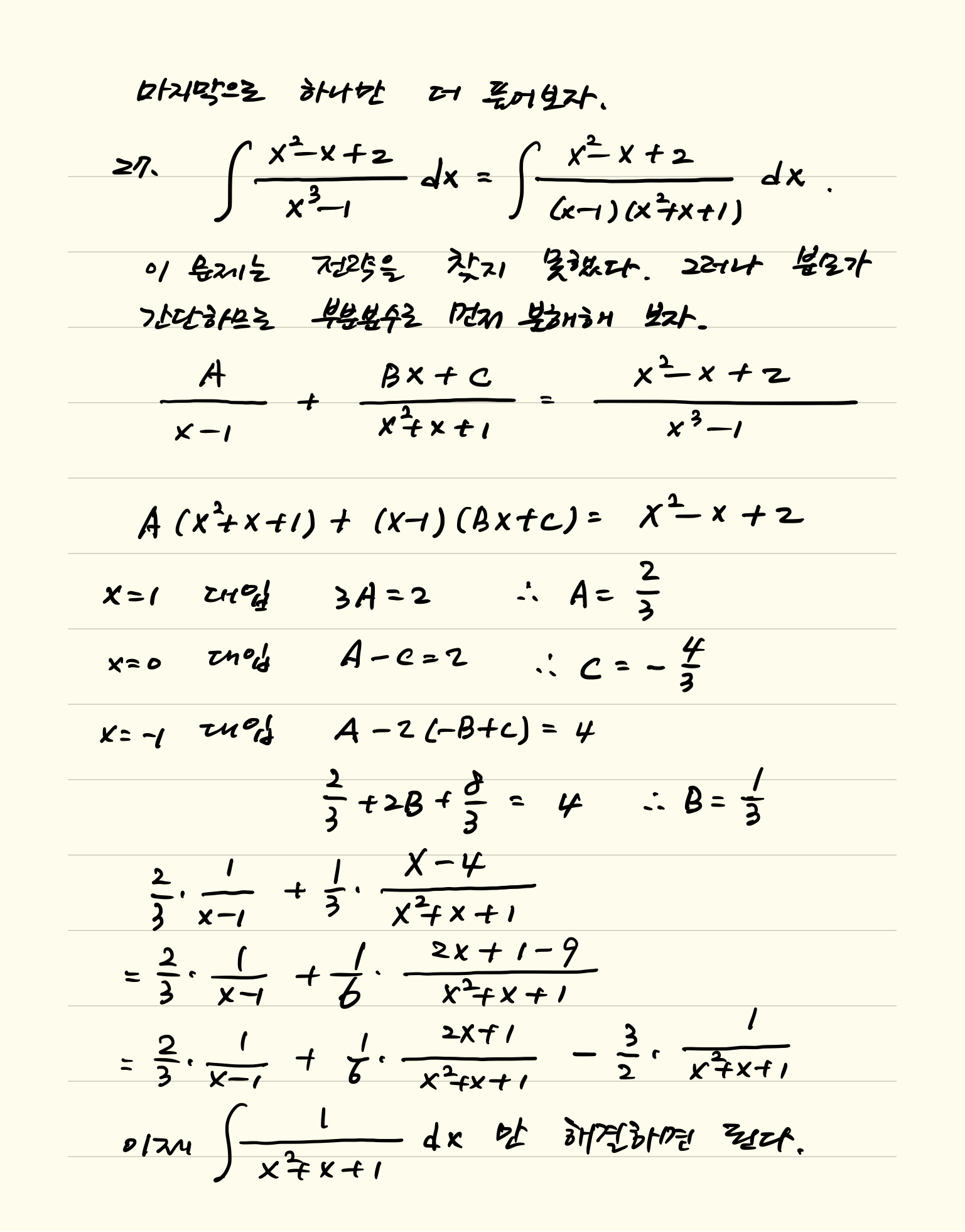
유리함수를 적분할 때 분모가 1차식으로 모두 인수분해가 된다면 헤비사이드 방법을 써서 부분 분수로 분해하면 아주 간단하게 적분할 수 있다. 그러나 더 이상 분해되지 않는 이차식이 분모에 남아 있다면 마냥 쉽지는 않다. 과제인 연습문제에 대한 질문이 있어서 몇 문제 풀어 놓는다. 

반응형